jvm字节码指令
Java虚拟机的指令由一个字节长度的、代表着某种特定操作含义的数字(称为操作码,Opcode)以及跟随其后的零至多个代表此操作所需的参数(称为操作数,Operand)构成。
Java虚拟机采用面向操作数栈,而不是面向寄存器的架构,大多数指令都不包含操作数,只有一个操作码,指令参数都存放在操作数栈中。
字节码指令集可算是一种具有鲜明特点、优势和劣势均很突出的指令集架构,由于限制了Java虚拟机操作码的长度为一个字节(即0~255),这意味着指令集的操作码总数不能够超过256条;又由于Class文件格式放弃了编译后代码的操作数长度对齐,这就意味着虚拟机在处理那些超过一个字节的数据时,不得不在运行时从字节中重建出具体数据的结构。
放弃了操作数长度对齐[插图],就意味着可以省略掉大量的填充和间隔符号;用一个字节来代表操作码,也是为了尽可能获得短小精干的编译代码。这种追求尽可能小数据量、高传输效率的设计是由Java语言设计之初主要面向网络、智能家电的技术背景所决定的,并一直沿用至今。
如果不考虑异常处理的话,那Java虚拟机的解释器可以使用下面这段伪代码作为最基本的执行模型来理解,这个执行模型虽然很简单,但依然可以有效正确地工作:
do {
自动计算PC寄存器的值加1;
根据PC寄存器指示的位置,从字节码流中取出操作码;
if (字节码存在操作数) 从字节码流中取出操作数;
执行操作码所定义的操作;
} while (字节码流长度 > 0);一、字节码与数据类型
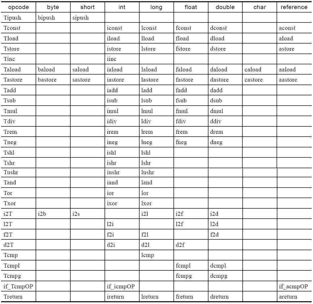
在Java虚拟机的指令集中,大多数指令都包含其操作所对应的数据类型信息。举个例子,iload指令用于从局部变量表中加载int型的数据到操作数栈中,而fload指令加载的则是float类型的数据。这两条指令的操作在虚拟机内部可能会是由同一段代码来实现的,但在Class文件中它们必须拥有各自独立的操作码。
对于大部分与数据类型相关的字节码指令,它们的操作码助记符中都有特殊的字符来表明专门为哪种数据类型服务:i代表对int类型的数据操作,l代表long,s代表short,b代表byte,c代表char,f代表float,d代表double,a代表reference。也有一些指令的助记符中没有明确指明操作类型的字母,例如arraylength指令,它没有代表数据类型的特殊字符,但操作数永远只能是一个数组类型的对象。还有另外一些指令,例如无条件跳转指令goto则是与数据类型无关的指令。
Java虚拟机的指令集对于特定的操作只提供了有限的类型相关指令去支持,这种特效称为:“Not Orthogonal”,并非每种数据类型和每一种操作都有对应的指令。有一些单独的指令可以在必要的时候用来将一些不支持的类型转换为可被支持的类型。
Java虚拟机指令集所支持的数据类型:
大部分指令都没有支持整数类型byte、char和short,甚至没有任何指令支持boolean类型。编译器会在编译期或运行期将byte和short类型的数据带符号扩展(Sign-Extend)为相应的int类型数据,将boolean和char类型数据零位扩展(Zero-Extend)为相应的int类型数据。
多数对于boolean、byte、short和char类型数据的操作,实际上都是使用相应的对int类型作为运算类型(Computational Type)来进行的。
二、加载和存储指令
加载和存储指令用于将数据在栈帧中的局部变量表和操作数栈之间来回传输,这类指令包括:
将一个局部变量加载到操作栈:
iload、iload_<n>、lload、lload_<n>、fload、fload_<n>、dload、dload_<n>、aload、aload_<n>
将一个数值从操作数栈存储到局部变量表:
istore、istore_<n>、lstore、lstore_<n>、fstore、fstore_<n>、dstore、dstore_<n>、astore、astore_<n>
将一个常量加载到操作数栈:bipush、sipush、ldc、ldc_w、ldc2_w、aconst_null、iconst_m1、iconst_<i>,lconst_<l>、fconst_<f>、dconst_<d>
扩充局部变量表的访问索引的指令:wide
存储数据的操作数栈和局部变量表主要由加载和存储指令进行操作,除此之外,还有少量指令,如访问对象的字段或数组元素的指令也会向操作数栈传输数据。
以尖括号结尾的(例如iload_<n>),这些指令助记符实际上代表了一组指令(例如iload_<n>,它代表了iload_0、iload_1、iload_2和iload_3这几条指令)。
这几组指令都是某个带有一个操作数的通用指令(例如iload)的特殊形式,对于这几组特殊指令,它们省略掉了显式的操作数,不需要进行取操作数的动作,因为实际上操作数就隐含在指令中。
三、运算指令
算术指令用于对两个操作数栈上的值进行某种特定运算,并把结果重新存入到操作栈顶。
运算指令可以分为两种:对整型数据进行运算的指令与对浮点型数据进行运算的指令。
运算指令都是用Java虚拟机的算术类型来进行计算,不存在直接支持byte、short、char和boolean类型的算术指令,他们的运算都使用int类型的指令代替。
所有的算术指令包括:
加法指令:iadd、ladd、fadd、dadd
减法指令:isub、lsub、fsub、dsub
乘法指令:imul、lmul、fmul、dmul
除法指令:idiv、ldiv、fdiv、ddiv
求余指令:irem、lrem、frem、drem
取反指令:ineg、lneg、fneg、dneg
位移指令:ishl、ishr、iushr、lshl、lshr、lushr
按位或指令:ior、lor
按位与指令:iand、land
按位异或指令:ixor、lxor
局部变量自增指令:iinc
比较指令:dcmpg、dcmpl、fcmpg、fcmpl、lcmp
《Java虚拟机规范》规定了在处理整型数据时,只有除法指令(idiv和ldiv)以及求余指令(irem和lrem)中当出现除数为零时会导致虚拟机抛出ArithmeticException异常,其余任何整型数运算场景都不应该抛出运行时异常。
Java虚拟机必须完全支持IEEE 754中定义的“非正规浮点数值”(Denormalized Floating-Point Number)和“逐级下溢”(Gradual Underflow)的运算规则。这些规则将会使某些数值算法处理起来变得明确,不会出现模棱两可的困境。譬如以上规则要求Java虚拟机在进行浮点数运算时,所有的运算结果都必须舍入到适当的精度,非精确的结果必须舍入为可被表示的最接近的精确值;如果有两种可表示的形式与该值一样接近,那将优先选择最低有效位为零的。这种舍入模式也是IEEE 754规范中的默认舍入模式,称为向最接近数舍入模式。而在把浮点数转换为整数时,Java虚拟机使用IEEE 754标准中的向零舍入模式,这种模式的舍入结果会导致数字被截断,所有小数部分的有效字节都会被丢弃掉。向零舍入模式将在目标数值类型中选择一个最接近,但是不大于原值的数字来作为最精确的舍入结果。
浮点异常
Java虚拟机在处理浮点数运算时,不会抛出任何运行时异常(这里所讲的是Java语言中的异常,不可与IEEE 754规范中的浮点异常互相混淆,IEEE 754的浮点异常是一种运算信号),当一个操作产生溢出时,将会使用有符号的无穷大来表示;如果某个操作结果没有明确的数学定义的话,将会使用
NaN(Not a Number)值来表示。所有使用NaN值作为操作数的算术操作,结果都会返回NaN。
Java虚拟机在处理浮点数运算时,不会抛出任何运行时异常(这里所讲的是Java语言中的异常,请读者勿与IEEE 754规范中的浮点异常互相混淆,IEEE 754的浮点异常是一种运算信号),当一个操作产生溢出时,将会使用有符号的无穷大来表示;如果某个操作结果没有明确的数学定义的话,将会使用NaN(Not a Number)值来表示。所有使用NaN值作为操作数的算术操作,结果都会返回NaN。
四、类型转换指令
类型转换指令可以将两种不同的数值类型相互转换,这些转换操作一般用于实现用户代码中的显式类型转换操作,或者用来处理本节开篇所提到的字节码指令集中数据类型相关指令无法与数据类型一一对应的问题。
Java虚拟机直接支持(即转换时无须显式的转换指令)以下数值类型的宽化类型转换(Widening Numeric Conversion,即小范围类型向大范围类型的安全转换):
int类型到long、float或者double类型
long类型到float、double类型
float类型到double类型
与之相对的,处理窄化类型转换(Narrowing Numeric Conversion)时,就必须显式地使用转换指令来完成,这些转换指令包括i2b、i2c、i2s、l2i、f2i、f2l、d2i、d2l和d2f。
窄化类型转换可能会导致转换结果产生不同的正负号、不同的数量级的情况,转换过程很可能会导致数值的精度丢失。
在将int或long类型窄化转换为整数类型T的时候,转换过程仅仅是简单丢弃除最低位N字节以外的内容,N是类型T的数据类型长度,这将可能导致转换结果与输入值有不同的正负号。对于了解计算机数值存储和表示的程序员来说这点很容易理解,因为原来符号位处于数值的最高位,高位被丢弃之后,转换结果的符号就取决于低N字节的首位了。
Java虚拟机将一个浮点值窄化转换为整数类型T(T限于int或long类型之一)的时候,必须遵循以下转换规则:
(a)如果浮点值是NaN,那转换结果就是int或long类型的0。
(b)如果浮点值不是无穷大的话,浮点值使用IEEE 754的向零舍入模式取整,获得整数值v。如果v在目标类型T(int或long)的表示范围之类,那转换结果就是v;否则,将根据v的符号,转换为T所能表示的最大或者最小正数。
从double类型到float类型做窄化转换的过程与IEEE 754中定义的一致,通过IEEE 754向最接近数舍入模式舍入得到一个可以使用float类型表示的数字。如果转换结果的绝对值太小、无法使用float来表示的话,将返回float类型的正负零;如果转换结果的绝对值太大、无法使用float来表示的话,将返回float类型的正负无穷大。对于double类型的NaN值将按规定转换为float类型的NaN值。
尽管数据类型窄化转换可能会发生上限溢出、下限溢出和精度丢失等情况,但是《Java虚拟机规范》中明确规定数值类型的窄化转换指令永远不可能导致虚拟机抛出运行时异常。
五、对象创建与访问指令
虽然类实例和数组都是对象,但Java虚拟机对类实例和数组的创建与操作使用了不同的字节码指令(在下一章会讲到数组和普通类的类型创建过程是不同的)。对象创建后,就可以通过对象访问指令获取对象实例或者数组实例中的字段或者数组元素,这些指令包括:
(a)创建类实例的指令:new
(b)创建数组的指令:newarray、anewarray、multianewarray
(c)访问类字段(static字段,或者称为类变量)和实例字段(非static字段,或者称为实例变量)的指令:getfield、putfield、getstatic、putstatic
(d)把一个数组元素加载到操作数栈的指令:baload、caload、saload、iaload、laload、faload、daload、aaload
(e)将一个操作数栈的值储存到数组元素中的指令:bastore、castore、sastore、iastore、fastore、dastore、aastore
(f)取数组长度的指令:arraylength
(g)检查类实例类型的指令:instanceof、checkcast
六、操作数栈管理指令
如同操作一个普通数据结构中的堆栈那样,Java虚拟机提供了一些用于直接操作操作数栈的指令,包括:
(a)将操作数栈的栈顶一个或两个元素出栈:pop、pop2
(b)复制栈顶一个或两个数值并将复制值或双份的复制值重新压入栈顶:dup、dup2、dup_x1、dup2_x1、dup_x2、dup2_x2
(c)将栈最顶端的两个数值互换:swap
七、控制转移指令
控制转移指令可以让Java虚拟机有条件或无条件地从指定位置指令(而不是控制转移指令)的下一条指令继续执行程序,从概念模型上理解,可以认为控制指令就是在有条件或无条件地修改PC寄存器的值。控制转移指令包括:
(a)条件分支:ifeq、iflt、ifle、ifne、ifgt、ifge、ifnull、ifnonnull、if_icmpeq、if_icmpne、if_icmplt、if_icmpgt、if_icmple、if_icmpge、if_acmpeq和if_acmpne
(b)复合条件分支:tableswitch、lookupswitch
(c)无条件分支:goto、goto_w、jsr、jsr_w、ret
Java虚拟机中有专门的指令集用来处理int和reference类型的条件分支比较操作,为了可以无须明显标识一个数据的值是否null,也有专门的指令用来检测null值。
对于boolean类型、byte类型、char类型和short类型的条件分支比较操作,都使用int类型的比较指令来完成,而对于long类型、float类型和double类型的条件分支比较操作,则会先执行相应类型的比较运算指令(dcmpg、dcmpl、fcmpg、fcmpl、lcmp),运算指令会返回一个整型值到操作数栈中,随后再执行int类型的条件分支比较操作来完成整个分支跳转。由于各种类型的比较最终都会转化为int类型的比较操作,int类型比较是否方便、完善就显得尤为重要,而Java虚拟机提供的int类型的条件分支指令是最为丰富、强大的。
八、方法调用和返回指令
指令用于方法调用:
(a)invokevirtual指令:用于调用对象的实例方法,根据对象的实际类型进行分派(虚方法分派),这也是Java语言中最常见的方法分派方式。
(b)invokeinterface指令:用于调用接口方法,它会在运行时搜索一个实现了这个接口方法的对象,找出适合的方法进行调用。
(c)invokespecial指令:用于调用一些需要特殊处理的实例方法,包括实例初始化方法、私有方法和父类方法。
(d)invokestatic指令:用于调用类静态方法(static方法)。
(e)invokedynamic指令:用于在运行时动态解析出调用点限定符所引用的方法。并执行该方法。前面四条调用指令的分派逻辑都固化在Java虚拟机内部,用户无法改变,而invokedynamic指令的分派逻辑是由用户所设定的引导方法决定的。
方法调用指令与数据类型无关,而方法返回指令是根据返回值的类型区分的,包括ireturn(当返回值是boolean、byte、char、short和int类型时使用)、lreturn、freturn、dreturn和areturn,另外还有一条return指令供声明为void的方法、实例初始化方法、类和接口的类初始化方法使用。
九、异常指令
Java程序中显式抛出异常的操作(throw语句)都由athrow指令来实现,除了用throw语句显式抛出异常的情况之外,《Java虚拟机规范》还规定了许多运行时异常会在其他Java虚拟机指令检测到异常状况时自动抛出。例如前面介绍整数运算中,当除数为零时,虚拟机会在idiv或ldiv指令中抛出ArithmeticException异常。而在Java虚拟机中,处理异常(catch语句)不是由字节码指令来实现的(很久之前曾经使用jsr和ret指令来实现,现在已经不用了),而是采用异常表来完成。
十、同步指令
Java虚拟机可以支持方法级的同步和方法内部一段指令序列的同步,这两种同步结构都是使用管程(Monitor,更常见的是直接将它称为“锁”)来实现的。
方法级的同步是隐式的,无须通过字节码指令来控制,它实现在方法调用和返回操作之中。虚拟机可以从方法常量池中的方法表结构中的ACC_SYNCHRONIZED访问标志得知一个方法是否被声明为同步方法。当方法调用时,调用指令将会检查方法的ACC_SYNCHRONIZED访问标志是否被设置,如果设置了,执行线程就要求先成功持有管程,然后才能执行方法,最后当方法完成(无论是正常完成还是非正常完成)时释放管程。在方法执行期间,执行线程持有了管程,其他任何线程都无法再获取到同一个管程。如果一个同步方法执行期间抛出了异常,并且在方法内部无法处理此异常,那这个同步方法所持有的管程将在异常抛到同步方法边界之外时自动释放。
同步一段指令集序列通常是由Java语言中的synchronized语句块来表示的,Java虚拟机的指令集中有monitorenter和monitorexit两条指令来支持synchronized关键字的语义,正确实现synchronized关键字需要Javac编译器与Java虚拟机两者共同协作支持
java代码
void onlyMe(Foo f) {
synchronized(f) {
doSomething();
}
}对应的字节码清单:
Method void onlyMe(Foo)
0 aload_1 // 将对象f入栈
1 dup // 复制栈顶元素(即f的引用)
2 astore_2 // 将栈顶元素存储到局部变量表变量槽 2中
3 monitorenter // 以栈定元素(即f)作为锁,开始同步
4 aload_0 // 将局部变量槽 0(即this指针)的元素入栈
5 invokevirtual #5 // 调用doSomething()方法
8 aload_2 // 将局部变量Slow 2的元素(即f)入栈
9 monitorexit // 退出同步
10 goto 18 // 方法正常结束,跳转到18返回
13 astore_3 // 从这步开始是异常路径,见下面异常表的Taget 13
14 aload_2 // 将局部变量Slow 2的元素(即f)入栈
15 monitorexit // 退出同步
16 aload_3 // 将局部变量Slow 3的元素(即异常对象)入栈
17 athrow // 把异常对象重新抛出给onlyMe()方法的调用者
18 return // 方法正常返回
Exception table:
FromTo Target Type
4 10 13 any
13 16 13 any编译器必须确保无论方法通过何种方式完成,方法中调用过的每条monitorenter指令都必须有其对应的monitorexit指令,而无论这个方法是正常结束还是异常结束。
为了保证在方法异常完成时monitorenter和monitorexit指令依然可以正确配对执行,编译器会自动产生一个异常处理程序,这个异常处理程序声明可处理所有的异常,它的目的就是用来执行monitorexit指令。





